More Problems
Problem 1:
Suppose an electron is in a state described by the wave function
ψ = (1/√4π)(eiφsinθ + cosθ)g(r),
where ∫0∞ |g(r)|2r2dr = 1, and φ, θ are the azimuth and polar angles respectively.
(a) What are the possible results of a measurement of the z-component Lz
of the angular momentum of the electron in this state?
(b) What is the probability of obtaining each of the possible results in part
(a)?
(c) What is the expectation value of Lz ?
Solution:
- Concepts:
The spherical harmonics, the postulates of quantum mechanics
- Reasoning:
If we want to find the probability of measuring the eigenvalue a of an
observable A we must express the wave function of the system as a linear
combination of eigenfunctions of A. Then P(a) = Σi|<ai|ψ>|2.
Express the wave function in terms of spherical harmonics.
Y1±1 = ∓(3/8π)½sinθ exp(±iφ), Y10 = (3/4π)½cosθ.
- Details of the calculation:
(a) ψ = (1/3)½(-√2 Y11 +
Y10)g(r), the possible results for a measurement of Lz
are 0 and ħ.
(b) The wavefunction ψ is normalized. The probability of measuring 0 is
1/3, the probability of measuring ħ is 2/3.
(c) The expectation value <Lz> = 0*P(0) + ħP(ħ) = (2/3)ħ.
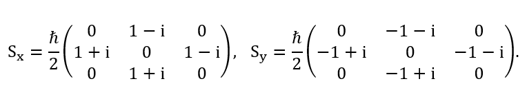
Problem 2:
Let the matrices Sx and Sy be the matrices of an operator in some basis.

(a) What is the spin quantum number s of the particle?
(b) Use the commutation relations
[Si,Sj] = εijkiħSk
to compute the matrix of Sz in that basis.
(c) Find the normalized eigenvectors of Sx in that
basis and show that they are orthogonal.
Solution:
- Concepts:
Matrix multiplication, finding the eigenvalues of a matrix
- Reasoning:
[Sx,Sy] = SxSy - SySx
= iħSz, det(Sx - λħI) = 0.
- Details of the calculation:
(a) A 3 by 3 matrix implies that the spin quantum number is 1.
(b) [Sx,Sy] = SxSy - SySx
= iħSz.

(c) The eigenvalues of Sx are ½ħλ.

λ = 0, ±2. So the eigenvalues of Sx are ħ, 0, and -ħ.
The corresponding normalized eigenvectors (up to a factor eiφ)
are given below.

<1|1> = <0|0> = <-1|-1> = 0. The vectors are normalized.
Check: <1|0> = ½ *1/√2(1 - 1) = 0. <1|-1> = ¼(- 1 + 2 -1) = 0. <0|-1> = ½
*1/√2(-1 + 1) = 0.
The vectors are orthogonal.
Problem 3:
A one-dimensional
potential well is given in the form of a delta function at x = 0,
U(x) = Cδ(x), C < 0. Find the energy and wave function of the ground state of
the system.
Solution:
- Concepts:
This is a "square potential" problem. We solve HΦ(x)
= EΦ(x) in regions where U(x) is constant and apply
boundary conditions.
- Reasoning:
U(x) = 0 everywhere except at x = 0.
- Details of the calculation:
E < 0.
Φ1(x) = A1 exp(ρx) + A1'exp(-ρx) for x < 0. ρ2
= -2mE/ħ2.
Φ2(x) = A2 exp(ρx) + A2'exp(-ρx) for x > 0.
Φ is finite at infinity. If we choose ρ > 0, then A1' = A2
= 0.
Φ is continuous at x = 0. Φ1(0) = Φ2(0). A1
=
A2' = A.
∂Φ/∂x has a finite discontinuity at x = 0.
∂2Φ(x)/∂x2 + (2m(E - U)/ħ2)Φ(x) = 0.
Let us evaluate this equation at x = ε and at x = -ε and write down a difference
equation.
∂Φ2ε(x1 + ε)/∂x - ∂Φ1ε(x1
- ε)/∂x =
-(2m/ħ2)∫x1-εx1+ε (E - Cδ(x)) Φ(x) dx
= (2mC/ħ2)Φ(0).
∂Φ2/∂x|x=ε = ∂Φ1/∂x|x=-ε + (2mC/ħ2)Φ(0),
as ε --> 0.
-ρA - (2mC/ħ2)A = ρA, ρ = -mC/ħ2.
m2C2/ħ4 = -2mE/ħ2, E = -mC2/(2ħ2).
The wave function is Φ(x) = Aexp(-ρ|x|).
Only one bound state exists.